SPUNLACE (HYDROENTANGLEMENT)  (Educational Research)

Education   Nonwoven Research

The Educational information in this section has been graciously donated to the Apparel Search Company by Professor Kermit Duckett.

 

Hsu-Yeh Huang and Xiao Gao

Introduction

The oldest technique for consolidating a web is mechanical bonding, which entangles the Fibers to give strength to the web [1]. Under mechanical bonding, the two most widely used methods are needlepunching and spunlacing (hydroentanglement). Hydroentanglement uses high-speed jets of water to strike a web so that the Fibers knot about one another. As a result, nonwoven fabrics made by this method have specific properties, as soft handle and drapability. Japan is the major producer of hydroentangled nonwovens in the world. In 1995, the output of spunlaced fabrics containing cotton was 3,700 metric tons and a significant growth in production can still be seen [14]. The biggest producers of spunlaced fabrics in the U.S. are DuPont, Chicopee and Kendall corporations.

This technology was officially introduced by DuPont in 1973 (Sontara) and is a result of considerable work done by DuPont and Chicopee (DuPont obtained five patents on spunlaced nonwovens within the 1963-1970 period. Since the 1990's, the technology has been made more efficient and affordable for more manufacturers. Though a vast majority of hydroentangled fabrics have incorporated dry-laid webs (carded or air-laid webs as precursors), this has changed very recently with an increase in wet-laid precursor webs. This is because of Dexter making use of Unicharm's technology to make spunlaced fabrics using wet-laid fabrics as precursors. [3]

So far, there are many different specific terms for spunlace nonwoven like jet entangled, water entangled, hydroentangled or hydraulically needled. The term, spunlace, is used more popularly in the nonwoven industry. In fact, the spunlace process can be defined as: the spunlace process is a nonwovens manufacturing system that employs jets of water to entangle Fibers and thereby provide fabric integrity. Softness, drape, conformability, and relatively high strength are the major characteristics that make spunlace nonwoven unique among nonwovens.

Process

Figure 1

Spunlacing is a process [3,5] of entangling a web of loose Fibers on a porous belt or moving perforated or patterned screen to form a sheet structure by subjecting the Fibers to multiple rows of fine high-pressure jets of water (Fig.1). Various steps are of importance in the hydroentangling process. While some of them are typical in a nonwoven process, some of them are unique to the process of spunlacing. The steps characteristic for producing hydroentangled nonwoven fabric include:

Precursor web formation

Web entanglement

Water circulation

Web drying

The formed web (usually air-laid or wet-laid, but sometimes spun bond or melt-blown, etc.) is first compacted and prewetted to eliminate air pockets and then water-needled. The water pressure generally increases from the first to the last injectors. Pressures as high as 2200 psi are used to direct the water jets onto the web. This pressure is sufficient for most nonwoven Fibers, although higher pressures are used in specialized applications. It has been argued that 10 rows of injectors (five from each side of the fabric) should achieve complete fabric bonding [12]. Injector hole diameters range from 100-120 m m and the holes are arranged in rows with 3-5 mm spacing, with one row containing 30-80 holes per 25 mm [3]. The impinging of the water jets on the web causes the entanglement of Fibers. The jets exhaust most of the kinetic energy primarily in rearranging Fibers within the web and, secondly, in rebounding against the substrates, dissipating energy to the Fibers. A vacuum within the roll removes used water from the product, preventing flooding of the product and reduction in the effectiveness of the jets to move the Fibers and cause entanglement (Fig.2)

Figure 2

Usually, hydroentanglement is applied on both sides in a step-wise manner. As described in the literature [6], the first entanglement roll acts on the first side a number of times in order to impart to the web the desired amount of bonding and strength. The web then passes over a second entanglement roll in a reverse direction in order to treat and, thereby, consolidate the other side of the fabric. The hydroentangled product is then passed through a dewatering device where excess water is removed and the fabric is dried.

Hydroentanglement carried out at standard conditions (six manifolds of needles, 1500 psi, web weighing 68 g/m2) requires 800 pounds of water per pound of product [14]. For that reason it is necessary to develop a new filtration system able to effectively supply clean water with this high throughput;otherwise, water jet holes become clogged. This system consists of three stages: chemical mixing and flocculation, dissolved air flotation and sand filtration[14]. Spunlaced fabrics have led to a lot of speculation regarding their manufacture because most of the manufacturing process details are considered as proprietary [4].

Materials used in the spunlace technology

As previously mentioned, hydroentanglement could be carried out using dry-laid (carded or air-laid) or wet-laid webs as a precursor. Most commonly, precursors are mixtures of cellulose and man-made Fibers (PET, nylon, acrylics, Kevlar(P84, (imide) etc). In addition, Asahi Chemical Industry [3] has used very fine Fibers produced from splittable composite Fibers to produce hydroentangled substrates for synthetic suede leather products.

In general, cellulosic Fibers are preferred for their high strength, pliability, plastic deformation resistance and water insolubility. Cellulosic Fibers are hydrophilic, chemically stable and relatively colorless. Another advantage is that cellulose has an inherent bonding ability caused by a high content of hydroxyl groups, which attract water molecules. As the water evaporates from the fabric, the hydroxyl groups on fiber surface link together by hydrogen bonds.

Influence of cotton micronaire on fabric properties has been studied [14]. Generally, low micronaire cotton is not recommended for hydroentangled nonwovens because of higher number of neps and small bundles of entangled Fibers, resulting in unsightly appearing fabric. In spite of this, fabrics made with lower micronaire fiber show higher strength, probably caused by a higher number of fine Fibers and greater surface area.

Also, greige cotton has been used in spunlacing technology. It has been shown that the absorbency rate increases with increasing hydroentangling energy. This is the result of oil and wax removal from the fiber surface. These nonwovens can be subsequently bleached, which should raise the strength of the fabric [14].

We can summarize all the processes which can be separated into following categories: [15-19]

1. The choice of fiber:

The fiber used in spunlaced nonwoven should think about following fiber characteristics.

     

  • Modulus: Fibers with low bending modulus requires less entangling energy than those with high bending modulus.

     

     

  • Fineness : For a given polymer type, larger diameter Fibers are more difficult to entangle than smaller diameter Fibers because of their greater bending rigidity. For PET, 1.25 to 1.5 deniers appear to be optimum.

     

     

  • Cross section : For a given polymer type and fiber denier, a triangular shaped fiber will have 1.4 times the bending stiffness of a round fiber. An extremely flat, oval or elliptical shaped fiber could have only 0.1 times the bending stiffness of a round fiber.

     

     

  • Length : Shorter Fibers are more mobile and will produce more entanglement points than longer Fibers. fabric strength, however, is proportional to fiber length; therefore, fiber length must be selected to give the best balance between the number of entanglement points and fabric strength. For PET, the fiber length from 1.8 to 2.4 seems to be best.

     

     

  • Crimp: Crimp is required in staple fiber processing systems and contributes to fabric bulk. Too much crimp can result in lower fabric strength and entanglement.

     

     

  • fiber wetability: Hydrophilic Fibers entangle more easily than hydrophobic Fibers because of the higher drag forces.

     

2. Precursor web formation:

Theoretically, any nonwoven web forming process can be used in the spunlace process. It depends on what kind of end-products you desire. The general properties of web forming from other process are listed as following:

  • Isotropic precursor webs can be produced by air laying system.

     

  • Carding webs can result in final products, which have higher MD strength than CD strength.

     

  • Meltblown webs can be produced with good 'squareness
    of the web.

Wet formed webs can especially be produced with good machine direction / cross direction characteristics.

     

  • The combination of various types of precursor webs provide numerous options for using in the spunlace process to create various different composites.

     

 

3. Web support system ( conveyor wire ):

The web support system plays an important part in most nonwoven processes. Especially for the spunlace process, it has a critical role in this process because the pattern of the final fabric is a direct function of the conveyor wire. By special design for the wire, we can have following varied products:

  • Ribbed and terry cloth-like products
  • Apertured products
  • Lace patterns or company logo can be entangled into fabrics
  • Production of composites
  • 3-D fabric formation

There are two general characteristic wires in spunlace system. The comparison of their properties is listed in Table 1.

Table 1 Comparison of metal and plastic wires

Plastic wire Metal wire
Good flex resistance

Light weight

Easy to install

Corrosion resistant

Difficult seams

Prone to shower damage

Difficult to control knuckle height

Moderate temperature

Poor flex resistance

Heavy weight

Difficult to install

Prone to corrosion

Invisible seam

Shower damage resistance

Easier to control knuckle height

High temperature

In fact, the surface characteristics of the forming wire determine what the nonwoven products will look like. A smooth top surface of forming wire is desired for little or no marking. As for the apertured product, there is a high knuckle in the forming wire. This is shown in Figure 3. A high knuckle in the wire will give a large hole in the fabric because the high-pressure water jets go through the web and are deflected by the high knuckle.

Figure 3

4. The entangle unit:

Hydroentanglement is an energy transfer process where the system provides high energy to water jets and then transferrs the energy to the precursor. In other words, the energy is delivered to the web by the water needles produced by the injector. Therefore, we can calculate the energy from the combination of the water velocity (related to the water pressure) and the water flow rate (related to the diameter of the needles).

Flow rate = P
x D2 x N x 2572 x 10-8 m3/hour/injector/meter

Energy = P3/2 x D2 x N x 7 x 10-10 KWH/injector/meter

P= water pressure (bar)

D=hole diameter ( m m )

N= number of holes ( per injector per meter )

In general, the diameter of water needle ranges from 100 to 170 m m. The highest number of needles is 1666 needles per meter of injector, corresponding to the smaller diameter. The water pressure ranges from 30 bar to 250 bar and it is increased stepwise from injector to injector.

5. Water system

As we know, water is most critical part in spunlace process. Therefore, there are some requirements for the water as follows:

  • Large amount of water
    about 606 m3/hr/m/injector for 40 bar and 120m m
  • Nearly neutral pH
  • Low in metallic ions such as Ca
  • No bacteria or other organic materials
  1. Filtration system
  2. :

Due to the large amount of water consumed, the spunlace process requires that it be recycled. Therefore, a high quality filtration system is necessary for the spunlace process. Some of special filters are listed as following:

  • Bag filter
  • Cartridge filter
  • Sand filter

7. Web drying:

When the fabric leaves the entanglement zone the web, it is completely saturated with water. There are a few steps to remove water from the fabric. The include:

  • vacuum dewatering system
  • Drying system

 

 

Parameters affecting the product performance properties

Both the fiber and web properties have primary effects on the performance of the finished product. These parameters comprise of the web material and area basis-weight, and the way in which the web was manufactured. As mentioned in literature [12], spunlaced technology demands a high quality web, especially in its uniformity and isotropic orientation.

The process variables are considered to have secondary effects on the performance of the finished product. The supporting substrate transport is an important variable influencing the fabric. There are two systems of entanglement substrate systems: flat and rotary. For the most part [6], there is no difference in the mechanism used to achieve entanglement. The rotary concept uses a compact machine design with ease of sheet run that provides entanglement of both sides of the web. Entanglement is seen to be achieved with as little as four meters (in the machine direction) of the material. Sometimes the Fibers are driven through the substrate wire and, in the flat concept, it is seen that the wire (along with the Fibers) is dragged over the suction box causing difficulty in the removal of the product. In the rotary concept this problem is not encountered because the Fibers are not pulled along the machine direction.

The substrate texture seems to have important influence on the product. The size of perforations is usually measured in "mesh", which is the count of wires per inch of the substrate. It has been shown [6] that imposing the same energy into two webs with different substrate meshes, the finer substrate yielded a stronger product resulting from finer support. The coarser wire support (20 mesh) gave a bulkier product with more permeability, but with less strength. Water removal from the fabric was shown to be dependent on the mesh of the support belt. The lower the mesh, the more energy that was necessary to remove the remaining water. In addition to that, the surface of the fabric can be apertured (textured on the surface) with a specially structured substrate [13].

Table 1

The amount of energy delivered in the web is a crucial parameter influencing the fabric structure and properties since it affects fiber entanglement completeness. "Completeness" is a term that is defined [6] as "the portion of Fibers that are tied together". DuPont patent literature has methods for entanglement completeness testing. Water pressure is another parameter related to fabric energy intake. There are several water pressure levels used [12]:

Table 2

Now, higher water pressure machines are mostly used since using high pressure, energy can be delivered into a web with less water needles and less water. This is economically more useful [12].

Another basic process parameter having influence on the fabric is the speed of the line. If a constant amount of energy is being delivered to a fabric, the speed of the fabric determines how much energy is going to be absorbed per fabric unit area. Logically, the higher the line speeds, the less the energy that is absorbed by the fabric and the lower the fabric strength that is achieved.

Properties of spunlaced fabrics

Spunlaced fabrics show high drape, softness and comfortable handle because more fiber entanglement leads to increased strength without an increase in shear modulus. It has also been shown that there is a relationship between absorbency capacity and hydroentangling energy used. An increase of hydroentangling energy results in a decrease of absorbency capacity and absorbency rate. [14]. Shivers [7] mentioned that "shear modulus remains low and is virtually independent of the degree of entanglement". The softness of the fabric is explained [7] by the fact that the entangled structures are more compressible than bonded ones, as well as having mobility and partial alignment of Fibers in the thickness direction. The absence of a binder is seen to result in a fabric with yarn-like fabric intersections composed of "pseudoyarns" [7]. The pseudoyarns are "more highly intereconnected than yarns of conventional fabrics because individual Fibers can migrate from one pseudoyarn to another. This tends to stabilize the intersection". This pseudoyarn structure seems to be the reason for good dimensional stability, which is also accountable for drape [4], softness, good strength/weight properties of the fabric, pilling and abrasion behavior.

It was reported in the literature [11] that the strength of hydroentangled fabrics is lower than that of woven and higher than that of knitted fabrics, whereas the wash durability is considerably lower than that of woven or knitted fabrics.

The influence of the properties of fabric on the spunlace process [ 20 ]

Spunlaced fabrics are unique among nonwoven fabrics because of the balance achieved between strength and shear modulus. General speaking, spunlaced fabrics rely primarily on fiber-to-fiber friction to achieve physical integrity and are characterized by relatively high strength, softness, drape, conformability and aesthetics closely approaching woven and knitted fabrics. The property map of shear modulus and strength is listed in Figure 4

Figure 4

Therefore, the operational condition change in the process will affect directly on the properties of fabrics. For example, Fig. 5 and Fig. 6 show that the spunlaced fabric has the lowest shear modulus among the nonwoven fabrics and is very close to the shear modulus of woven and knitted fabric. Even if one tries to increase the fabric strength, it doesn't increase the shear modulus as is the case normally for other nonwoven fabrics. Fig. 7 shows that the tensile strength of fabric increases with water pressure increase. This is due to the high energy from water imparted to the fiber entanglement.

Figure 5 Figure 6 Figure 7

 

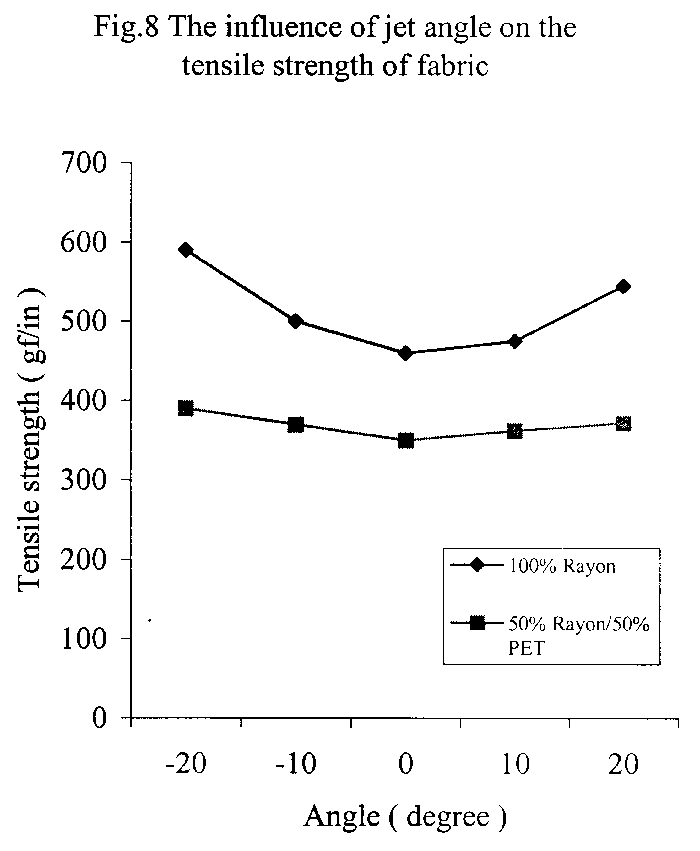
Generally, the water jet is perpendicular to the fabric. If we change the angle a little, the results show the strength increases as demonstrated in Fig. 8 Additionally, Fig. 9 shows speeding the speed of conveyor will decrease the strength of fabric.

Figure 8 Figure 9

In the spunlace process, there are three water jet manifolds at least and the water pressure can be adjusted individually. Therefore, Fig. 10, Fig 11 and Fig 12, illustrate the change of water pressure at each of the jet manifolds. The results show the strength always increase with increasing water pressure. However, the lower water pressure at the 1st jet manifold and similar water pressure at 2nd and 3rd, the closer tensile strength for both MD and CD directions. In other words, the fabric is closer to isotropic properties as shown in Table 2. This is a very important factor in deciding what kind of material property will result.

Figure 10 Figure 11 Figure 12

 

Table 2.

Injector I ( bar )

II ( bar )

III ( bar )

MD:CD

20

70

100

1.27

30

70

100

1.55

40

70

100

1.51

50

70

100

1.50

60

70

100

1.67

70

70

100

1.93

80

70

100

2.19

90

70

100

2.47

100

70

100

2.23

30

50

100

1.71

30

60

100

1.82

30

70

100

1.55

30

80

100

1.43

30

90

100

1.54

30

100

100

1.29

30

110

100

1.33

30

120

100

1.60

30

70

80

1.33

30

70

90

1.39

30

70

100

1.55

30

70

110

1.95

30

70

120

2.25

Fig. 13 shows that there is no significant change for the drape with increasing water pressure. So this is good for spunlaced fabric. Fig. 14 shows that the tensile strength of water jet entangling on both sides is much better than that on a single side.

Figure 13 Figure 14

Applications

Hydroentanglement is considered to be a highly versatile process [8] because it can be used to produce nonwovens with a broad range of end-use properties. These differences are achieved as a result of a wide range of Fibers that are available and also because of the wide range of possible parameter adjustments. The versatility of the hydroentanglement processes is seen as an advantage because this process can be used to combine conventionally formed webs with melt-blown, spunbond webs, paper, other textiles and scrims in order to get a combination of properties that cannot be achieved by the use of a single web.

Spunlace fabrics can be further finished, usually dyed and/or printed, treated with binders to allow for wash durability, or fire retardants can be applied to resist burning. The fabric can be treated by antimicrobial agents to enhance resistance against microorganisms.

The largest US market [9] for spunlaced fabrics spans from surgical packs and gowns, protective clothing as chemical barriers to wipes, towels and sponges for industrial, medical, food service and consumer applications. The main reasons for wide use of these fabrics in medical applications is based on relatively high absorption abilities. Another important criterion is absence of a binder in the fabric allowing sterilization of the fabric at high temperatures.

Table 3

There are some application: [22]

1. Bacteria-proof Cloth (Fig. 15)

     

  • Based on 100% Rayon. The extreme absorption with water and oily stuff are good for your convenience.

     

     

  • For our unique green earth, we adopt the recycleable material for protecting the environment.

     

  • By special water-processed method, the fluffed cotton cannot easily float away
  • Easy to wash, quick dry, making a becteriaproof environment.
  • No Starch, No fluorescence substance, and other chemical medicine.

Fig. 15

2. Sewed Cleaning Cloth (Fig 16)

     

  • Based on 100% Rayon. The extreme absorption with water and oily stuff provides convenience.

     

     

  • For our unique green earth, we adopt the recycleable material for protecting the environment.

     

  • By special water-processed method, the fluffed cotton cannot easily float away.
  • Easy to wash, quick dry, resulting in a bacteria-proof environment.
  • No Starch, No fluorescence substance, and other chemical medicine.

Figure 16

3. Magic Towel ( Fig 17 )

     

  • Processed by the advanced high-pressure-water method, the magic towel has extreme absorption for water, oil stuff and so on. Definitely, it has no formaldehyde and gluey substances. That's good for your health and convenience.

     

     

  • Easy to carry out for picnic, travel, and even as promotion gifts. One can print their LOGO on the tag for advertisement.

Figure 17

4. Wet Tissue ( Fig. 18 )

     

  • Processed by the advanced high-pressure-water method. The nonwoven spunlace has no Formaldehyde.

     

  • No gluey substance, tender to your soft skin.
  • For the refreshing experience, it is comfortable for body and parents like it.

     

  • The wet tissue is used for make-up, make-up removal, and other facial applications. In fact, it is convenient all the day.

 

Figure 18

5. Make -up Cotton ( Fig 19 )

  • Hi-Tech Nonwoven Spunlace which has no any chemical substance, but does have a soft touch and is tender to baby skin.
  • Saving your lotion and make-up cream. Best absorption, No fluffed cotton.
  • Best use for make up, wiping lips-sticker, fingernail polish, glasses, leather, jewels, and so on.

Figure 19

REFERENCES

  1. The Nonwovens Handbook, INDA, Association of the Nonwoven fabrics Industry, 1988

     

  2. Suzuki, M.: New Nonwoven and its Technical Features, INDEX 84 Congress, Session 2- Component and Process developments, Geneva, 1984

     

  3. White, C. F.: Hydroentanglement Technology Applied to Wet Formed and Other Precursor Webs, TAPPI Nonwovens Conference, 1990, 177-187

     

  4. Vaughn, E.: Spunlaced fabrics, Canadian Textile Journal, October 1978, 31-36

     

  5. Drelich, A.: A Simplified Classification of Nonwoven fabrics, Sixth Annual Nonwovens Conference, University of Tennessee, Knoxville, 1988

     

  6. Jaussaud, Jean Paul: Rotary hydraulic Entanglement Technology, Nonwovens in Medical and Healthcare Applications Conference, Nov 10th -12th 1987, Brighton, England

     

  7. Shivers, Joseph C., Popper, Peter, Saffer, Henry W.: The mechanical and Geometric Properties of Spunlace Fibrous Structures, INDA- TEC 1976, Symposium Papers

     

  8. Information brochure for Hydroentanglement technology from Valmet Paper Machinery, Honeycomb Systems Inc.

     

  9. White, C. F.: A review of Hydroentanglement Technology - Development of Future Products and Markets, Eighth Annual Nonwovens conference, University of Tennessee, Knoxville, 1990

     

  10. 1White, C. F.: Future Directions, Nonwovens in Medical and Healthcare Applications Conference, Session 3: Paper 19, Nov 10th - 12th, 1987, Brighton, England

     

  11. Connolly, T.J., Parent, L.R.: Influence of Specific Energy on the Properties of Hydroentangled Nonwoven fabrics, Tappi Journal, v.76, Aug '93, 135-141

     

  12. Vuillaume, Andre M.: A Global Approach to the Economics and End Product Quality of Spunlace Nonwovens, Tappi Journal, v.74, Aug '91, 149-152

     

  13. Widen, Christian B.: Forming fabrics for Spunlace Applications, Tappi Journal, v.74, May '91, 149-153

     

  14. Allen, Charles H., Jr.: New Development for Spunlacing Cotton, Paper presented at fiber Society Conference, University of Tennessee, Knoxville 19th-21st Oct. 1997

     

  15. EDANA's 1989 UK Nonwoven Syposium
  16. "Spunlace technology today" 1989
  17. Christian B. Widen , " Forming fabrics for spunlace applications " TAPPI Journal, May 1991
  18. " Spunlace offers utmost versatility" Nonwovens manufacturing ATI, November 1997
  19. " Spunlaced nonwovens overview" Nonwoven Industry, Feb. 1999
  20. " Spunlace Nonwoven " Perfojet, December 1991
  21. " The study on the mechanical properties of spunlaced nonwoven" 16th polymer symposium Vol.9, PP 433-436, Jun.1993
  22. www.jenor.com.tw/pe2a.htm

 

Apparel Search   Add Your Company   Contact Us   About Us   Advertise   News Letter   Legal   Help
Copyright © 1999-2023  Apparel Search Company.  All Rights Reserved. Buy Fashion For The Holidays.